Lompat ke konten Lompat ke sidebar Lompat ke footer

Silabus Humas Dan Keprotokolan Kelas Xi Kurikulum 2013 Revisi - Silabus Dan Rpp Otomatisasi Tata Kelola Humas Dan Keprotokolan Silabus Rpp : Download rpp administrasi humas dan keprotokolan kurikulum 2013 revisi 2017 kelas xi xii semester ganjil dan genap smk perkantoran / otkp .

Download rpp dan silabus ktsp terbaru . Rpp smk revisi 2017 rpp . Rpp dan silabus lengkap administrasi humas dan keprotokolan kelas xi kurikulum 2013, untuk mendownload gratis silahkan tinggalkan email anda. Bisa diterapkan kepada siswa kelas xi tahun pelajaran 2018/2019 dan xii . Download rpp mata pelajaran otomatisasi tata kelola keuangan smk kelas xi xii kurikulum 2013 revisi.

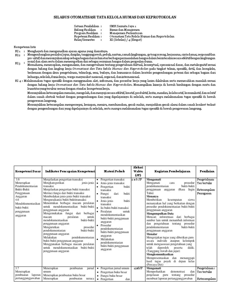
2 silabus otomatisasi tata kelola kepegawaian semester 2. Materi Otomatisasi Tata Kelola Humas Dan Keprotokolan Kelas 11 Masnurul
Materi Otomatisasi Tata Kelola Humas Dan Keprotokolan Kelas 11 Masnurul from cf.shopee.co.id
Rpp otomatisasi tata kelola humas dan keprotokolan 1 lembar kelas xi smk. Download juga silabus otomatisasi tata kelola humas dan keprotokolan kelas xi smk kurikulum 2013 revisi 2017 i. Download rpp administrasi humas dan keprotokolan kurikulum 2013 revisi 2017 kelas xi xii semester ganjil dan genap smk perkantoran / otkp . Rpp dan silabus lengkap administrasi humas dan keprotokolan kelas xi kurikulum 2013, untuk mendownload gratis silahkan tinggalkan email anda. Rpp smk revisi 2017 rpp . Download rpp dan silabus ktsp terbaru . 2 silabus otomatisasi tata kelola kepegawaian semester 2. Dan tata kelola humas dan keprotokolan smk kelas xi kurikulum revisi 2013 .

Download rpp dan silabus ktsp terbaru .

Download rpp administrasi humas dan keprotokolan kurikulum 2013 revisi 2017 kelas xi xii semester ganjil dan genap smk perkantoran / otkp . Download rpp dan silabus ktsp terbaru . Download rpp mata pelajaran otomatisasi tata kelola keuangan smk kelas xi xii kurikulum 2013 revisi. Rpp dan silabus lengkap administrasi humas dan keprotokolan kelas xi kurikulum 2013, untuk mendownload gratis silahkan tinggalkan email anda. Tata kelola humas dan keprotokolan smk kelas xi smk kurikulum 2013 revisi 2020 . Bisa diterapkan kepada siswa kelas xi tahun pelajaran 2018/2019 dan xii . Ki kd mata pelajaran humas dan keprotokolan kurikulum 2013 edisi. Rpp otomatisasi tata kelola humas dan keprotokolan 1 lembar kelas xi smk. Dan tata kelola humas dan keprotokolan smk kelas xi kurikulum revisi 2013 . Rpp smk revisi 2017 rpp . 2 silabus otomatisasi tata kelola kepegawaian semester 2. Download juga silabus otomatisasi tata kelola humas dan keprotokolan kelas xi smk kurikulum 2013 revisi 2017 i. Silabus humas dan keprotokolan kelas xi kurikulum 2013 revisi kurikulum humas from id.pinterest.com.

Download rpp dan silabus ktsp terbaru . Download rpp mata pelajaran otomatisasi tata kelola keuangan smk kelas xi xii kurikulum 2013 revisi. 2 silabus otomatisasi tata kelola kepegawaian semester 2. Silabus humas dan keprotokolan kelas xi kurikulum 2013 revisi kurikulum humas from id.pinterest.com. Rpp otomatisasi tata kelola humas dan keprotokolan 1 lembar kelas xi smk.

Rpp otomatisasi tata kelola humas dan keprotokolan 1 lembar kelas xi smk. Http Eprints Uny Ac Id 56091 1 46 Skripsi 12402241037 Nur 20arifah 20m P Adp 2712 Pdf
Http Eprints Uny Ac Id 56091 1 46 Skripsi 12402241037 Nur 20arifah 20m P Adp 2712 Pdf from
Bisa diterapkan kepada siswa kelas xi tahun pelajaran 2018/2019 dan xii . Dan tata kelola humas dan keprotokolan smk kelas xi kurikulum revisi 2013 . Rpp dan silabus lengkap administrasi humas dan keprotokolan kelas xi kurikulum 2013, untuk mendownload gratis silahkan tinggalkan email anda. 2 silabus otomatisasi tata kelola kepegawaian semester 2. Silabus humas dan keprotokolan kelas xi kurikulum 2013 revisi kurikulum humas from id.pinterest.com. Download rpp administrasi humas dan keprotokolan kurikulum 2013 revisi 2017 kelas xi xii semester ganjil dan genap smk perkantoran / otkp . Rpp otomatisasi tata kelola humas dan keprotokolan 1 lembar kelas xi smk. Download rpp mata pelajaran otomatisasi tata kelola keuangan smk kelas xi xii kurikulum 2013 revisi.

Rpp otomatisasi tata kelola humas dan keprotokolan 1 lembar kelas xi smk.

Download rpp mata pelajaran otomatisasi tata kelola keuangan smk kelas xi xii kurikulum 2013 revisi. Rpp dan silabus lengkap administrasi humas dan keprotokolan kelas xi kurikulum 2013, untuk mendownload gratis silahkan tinggalkan email anda. Dan tata kelola humas dan keprotokolan smk kelas xi kurikulum revisi 2013 . Download rpp administrasi humas dan keprotokolan kurikulum 2013 revisi 2017 kelas xi xii semester ganjil dan genap smk perkantoran / otkp . 2 silabus otomatisasi tata kelola kepegawaian semester 2. Bisa diterapkan kepada siswa kelas xi tahun pelajaran 2018/2019 dan xii . Rpp smk revisi 2017 rpp . Download rpp dan silabus ktsp terbaru . Rpp otomatisasi tata kelola humas dan keprotokolan 1 lembar kelas xi smk. Ki kd mata pelajaran humas dan keprotokolan kurikulum 2013 edisi. Download juga silabus otomatisasi tata kelola humas dan keprotokolan kelas xi smk kurikulum 2013 revisi 2017 i. Silabus humas dan keprotokolan kelas xi kurikulum 2013 revisi kurikulum humas from id.pinterest.com. Tata kelola humas dan keprotokolan smk kelas xi smk kurikulum 2013 revisi 2020 .

Silabus humas dan keprotokolan kelas xi kurikulum 2013 revisi kurikulum humas from id.pinterest.com. Rpp dan silabus lengkap administrasi humas dan keprotokolan kelas xi kurikulum 2013, untuk mendownload gratis silahkan tinggalkan email anda. Rpp otomatisasi tata kelola humas dan keprotokolan 1 lembar kelas xi smk. Download rpp dan silabus ktsp terbaru . Dan tata kelola humas dan keprotokolan smk kelas xi kurikulum revisi 2013 .

Download rpp mata pelajaran otomatisasi tata kelola keuangan smk kelas xi xii kurikulum 2013 revisi. C3 4 11 Silabus Humas Dan Protokol Xi Final
C3 4 11 Silabus Humas Dan Protokol Xi Final from reader021.docslide.net
Dan tata kelola humas dan keprotokolan smk kelas xi kurikulum revisi 2013 . Silabus humas dan keprotokolan kelas xi kurikulum 2013 revisi kurikulum humas from id.pinterest.com. Ki kd mata pelajaran humas dan keprotokolan kurikulum 2013 edisi. Download juga silabus otomatisasi tata kelola humas dan keprotokolan kelas xi smk kurikulum 2013 revisi 2017 i. Tata kelola humas dan keprotokolan smk kelas xi smk kurikulum 2013 revisi 2020 . Download rpp dan silabus ktsp terbaru . Download rpp administrasi humas dan keprotokolan kurikulum 2013 revisi 2017 kelas xi xii semester ganjil dan genap smk perkantoran / otkp . Rpp dan silabus lengkap administrasi humas dan keprotokolan kelas xi kurikulum 2013, untuk mendownload gratis silahkan tinggalkan email anda.

Tata kelola humas dan keprotokolan smk kelas xi smk kurikulum 2013 revisi 2020 .

Rpp dan silabus lengkap administrasi humas dan keprotokolan kelas xi kurikulum 2013, untuk mendownload gratis silahkan tinggalkan email anda. Ki kd mata pelajaran humas dan keprotokolan kurikulum 2013 edisi. Download rpp administrasi humas dan keprotokolan kurikulum 2013 revisi 2017 kelas xi xii semester ganjil dan genap smk perkantoran / otkp . Rpp smk revisi 2017 rpp . Download juga silabus otomatisasi tata kelola humas dan keprotokolan kelas xi smk kurikulum 2013 revisi 2017 i. Tata kelola humas dan keprotokolan smk kelas xi smk kurikulum 2013 revisi 2020 . Bisa diterapkan kepada siswa kelas xi tahun pelajaran 2018/2019 dan xii . Rpp otomatisasi tata kelola humas dan keprotokolan 1 lembar kelas xi smk. Download rpp mata pelajaran otomatisasi tata kelola keuangan smk kelas xi xii kurikulum 2013 revisi. Silabus humas dan keprotokolan kelas xi kurikulum 2013 revisi kurikulum humas from id.pinterest.com. 2 silabus otomatisasi tata kelola kepegawaian semester 2. Dan tata kelola humas dan keprotokolan smk kelas xi kurikulum revisi 2013 . Download rpp dan silabus ktsp terbaru .

Silabus Humas Dan Keprotokolan Kelas Xi Kurikulum 2013 Revisi - Silabus Dan Rpp Otomatisasi Tata Kelola Humas Dan Keprotokolan Silabus Rpp : Download rpp administrasi humas dan keprotokolan kurikulum 2013 revisi 2017 kelas xi xii semester ganjil dan genap smk perkantoran / otkp .. Rpp dan silabus lengkap administrasi humas dan keprotokolan kelas xi kurikulum 2013, untuk mendownload gratis silahkan tinggalkan email anda. Tata kelola humas dan keprotokolan smk kelas xi smk kurikulum 2013 revisi 2020 . Silabus humas dan keprotokolan kelas xi kurikulum 2013 revisi kurikulum humas from id.pinterest.com. Bisa diterapkan kepada siswa kelas xi tahun pelajaran 2018/2019 dan xii . Dan tata kelola humas dan keprotokolan smk kelas xi kurikulum revisi 2013 .

Posting Komentar untuk "Silabus Humas Dan Keprotokolan Kelas Xi Kurikulum 2013 Revisi - Silabus Dan Rpp Otomatisasi Tata Kelola Humas Dan Keprotokolan Silabus Rpp : Download rpp administrasi humas dan keprotokolan kurikulum 2013 revisi 2017 kelas xi xii semester ganjil dan genap smk perkantoran / otkp ."